Сторінка 19 з 47
Re: Ламповий TRX без комутації гетеродинів
Додано: Чет вересня 07, 2023 9:34 pm
UR5VCP
так збери в симуляторі на біполярних, або польовичках, ідея то взята з біполярних транзисторів?!
Re: Ламповий TRX без комутації гетеродинів
Додано: Чет вересня 07, 2023 9:43 pm
UR5FFR
Та нецікаво воно мені. Працює і гарно

Якщо у когось є питання - беремо симулятор та симулюємо

Re: Ламповий TRX без комутації гетеродинів
Додано: Чет вересня 07, 2023 9:51 pm
UR5VCP
Ну... ок. Поміряємося результатами ))))
Re: Ламповий TRX без комутації гетеродинів
Додано: Чет вересня 07, 2023 11:09 pm
UR5FFR
Re: Ламповий TRX без комутації гетеродинів
Додано: П'ят вересня 08, 2023 1:02 pm
UR5FFR
Так. Стосовно запропонованого змішувача з "зайвим" тріодом. Далі буде багато формул але усе у рамках шкільної програми.
Ну ви самі напросилися
Аналізувати будемо коли гетеродин видає негативну півхвилю. У цей час тріоди відкриті.
Спочатку візьмемо класичний змішувач на одному тріоді. Схема наступна

- mix1.png (12.75 Кіб) Переглянуто 63570 разів
Польовий тріод працює за дуже простою формулою Id=S*Ugs. Тут S - крутизна тріоду, Id - струм стоку (drain), Ugs - напруга між затвором (gate) та витоком (source).
Знайдемо підсилення цього каскаду

- mix1 gain.png (50.74 Кіб) Переглянуто 63570 разів
Тут все зрозуміло - ці формули є у любому підручнику по радіо
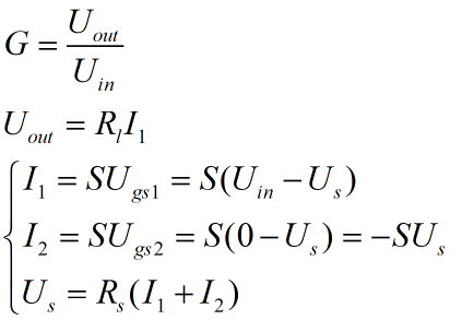
Тепер візьмемо наш змішувач на двох тріодах. Схема

- mix2.png (16.37 Кіб) Переглянуто 63570 разів
Знайдемо його підсилення

- mix2 gain1.png (25.03 Кіб) Переглянуто 63570 разів
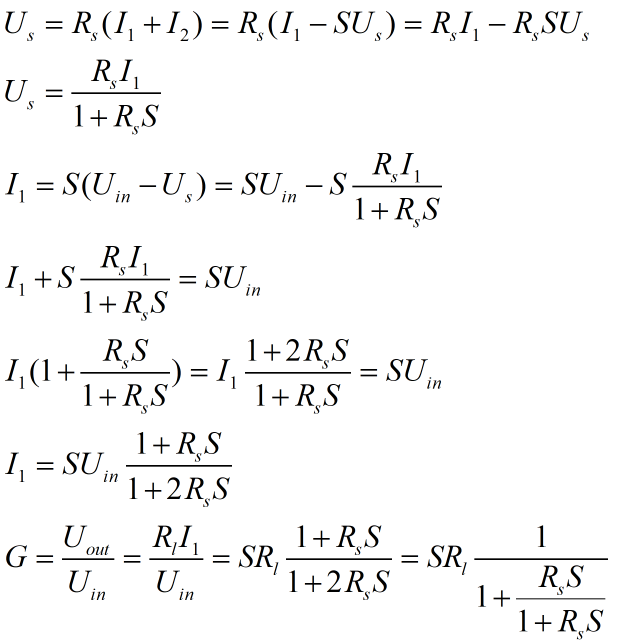
Вирішуємо цю систему рівнянь відносно I1 та знаходимо підсилення

- mix2 gain2.png (70.98 Кіб) Переглянуто 63570 разів
Щоб зрозуміти наскільки підсилення у схемі с "зайвим" тріодом більше або менше знайдемо відношення підсилення першої та другої схеми.

- mix2 gain3.png (26.98 Кіб) Переглянуто 63570 разів
Друга схема с "зайвим" тріодом буде мати у dG разів більше підсилення. Бачимо що завжди dG > 1, тобто друга схема виграє.
Наприклад для 6Н3П крутизна 0,005А/В, опір 3000 ом. Rl*S=15, dG=1+15^2/(1+2*15)=8,25 або 18дб. Десь таке покращення я і спостерігав
Якщо гетеродин подати у катод а правий тріод повністю виключити (тобто класичний змішувач на одному тріоді) то підсилення становить десь -3дб.
А з другим "зайвим" тріодом я отримав +14дб. Тобто виграш становить 17дб
Re: Ламповий TRX без комутації гетеродинів
Додано: П'ят вересня 08, 2023 1:50 pm
Пенсіонер
В розрахунку каскаду на двох тріодах отримана формула Us = Rs ∙ I₁ / (1+Rs ∙ S). З неї виходить висновок про відсутність впливу струму через другий тріод на Us.На неї впливають: опір резистора в катоді, струм першого тріоду і його крутість. Тобто, якщо відсутній вплив струму другого тріода, то відсутня і сама лампа? Тоді на що струм через другий тріод впливає?
Re: Ламповий TRX без комутації гетеродинів
Додано: П'ят вересня 08, 2023 2:05 pm
UR5FFR
Ви плутаєте причину зі слідством. Якби то струм "зайвого" тріода був постійний, то його б можна було замінити на резистор або виключити. Але! Його струм залежить від струму другого тріоду. Це легко виводиться

- mix2 gain4.png (11.17 Кіб) Переглянуто 63559 разів
Бачите - він ще й з зворотнім знаком. Тобто коли один тріод відкривається то другий - закривається. Бо це діфкаскад.
І порівняйте напругу Us для одного тріоду та двох - вона різна!
PS І ще маленький нюанс. Якби то у нас був підсилювач то мі би зменшили опір Rs і отримали б більше підсилення. Але у змішувачі ми не можемо зменшувати цій опір бо тріоди перестануть закриватися на негативній півхвили гетеродину і змішувач перестане працювати!
Тобто увесь квест можна назвати так - "Як отримати більше підсилення не зменшуючи Rs?"
Re: Ламповий TRX без комутації гетеродинів
Додано: П'ят вересня 08, 2023 4:59 pm
Пенсіонер
Мабуть наостанок, бо обговорення роботи каскаду не зовсім в тему.
Виходячи з формули коеф. підсилення змішувача на двох тріодах, якщо дозволити спрощення останнього множника, у вигляді дробу, до виду 1 / (Rs ∙ S) можливо вгледіти, що підсилення залежить від співвідношення опору навантаження до опору в катоді.Тоді напрошується припущення, що «граючись» з цим співвідношенням можливо знайти максимум підсилення.
Варіант з меншим підсиленням це несиметричний діфкаскад з несиметричним виходом. Під час заповнювання власних прогалин за допомогою інету, мені (можливо не дошукав) трапилися схеми цього каскаду виключно у такому вигляді, коли навантаження увімкнене в каскад із спільною сіткою, а вхідний сигнал подається на каскад із спільним анодом. Тоді схему можливо трактувати як включення послідовно двох каскадів: катодний повторювач (спільний анод) і спільна сітка
Re: Ламповий TRX без комутації гетеродинів
Додано: Нед вересня 10, 2023 7:48 pm
UR5FFR
Сьогодні працював над КФ. Вирішив що феншуйно буде робити КФ на олдових резонаторах. А саме на карболітових! Тому що "їх єсть у меня"

Знайшов у закромах 20 резонаторів на 9МГц 50х років виготовлення. Усі герметичні - всередину ніхто не лазив. Переміряв. Ну таке собі

Досить великий розбіг. Багато паразитних резонансів. 7 штук відібрав з однаковим послідовним резонансом на сходовий QER (не полюбляю Чебишева, може тому що він москаль?

).
Що з іншими робити? Змінювати частоту не дуже хотілося. Вирішив зробити диференційно-мостовий на 4х резонаторах.

- photo_2023-09-10_17-31-45.jpg (56.09 Кіб) Переглянуто 63489 разів
Завівся з першого разу. Опір дуже низький - усього 50 ом. Ось два варіанта з різною смугою
Фільтр не дуже прямокутний, бо усього 4 резонатори. Начебто усе гаразд. Мабуть років 50 тому так би й вирішили.
Але ж зараз НВТ не має тільки у лінивого. Дивимось АЧХ в смузі 100кГц та 1МГц
Бачимо що паразитні резонанси вилізли нам боком - у ближній зоні праворуч є "вікна" пропускання з рівнем -20..-30 дб. Ніт, такий феншуй нам не потрібен

Якщо хтось поруч буде працювати куерпі на металокерамиці або рогатих, то ППЧ зловить неслабкий такий собі овердрайв і перевантажиться по саме немогу.
Далі зібрав сходовий QER на 7ох резонаторах. Поставив навмання 75пф ємність виходячі з того шо резонансний інтервал 5-6кГц. Одразу ж попав у потрібну смугу пропускання. Погрався узгодженням
Найкраще при 200 ом - це транси 1:4 до 50ом. Ось повна АЧХ
Дивимося ближню зону у смузі 100кГц
Ну це ж зовсім інша річ! Якщо дивитися ще ширше (1МГц) то там вже нічого зайвого нема. То ж можна зробити припущення що сходовий фільтр більш підходить для резонаторів, які мають багато паразитних резонансів. А майже усі карболітові їх мають дуже багато.
Ось порівняння АЧХ мостового та сходового фільтрів
Можна зробити мостовий на 8 резонаторах - але треба змінювати частоту. Можливо що він буде мати менше паразитних резонансів. Але це вже не сьогодні
Re: Ламповий TRX без комутації гетеродинів
Додано: Пон вересня 11, 2023 3:00 pm
UR5FFR
Вирішив перевірити шо буде з АЧХ 8ми резонаторного мостового. Знайшов карболітови резонатори на 8330кГц. 8ми резонаторний це те ж саме що два 4х резонаторних послідовно. Але в мене не знайшлось резонаторів на два однакових 4х резонаторних мостових. Тому зробив дещо з перекриттям по частоті.
Як я і припускав паразитні резонанси компенсували один одного. У зоні 100кГц усе досить чисто та феншуйно
Отже діффмостові на старому карболіті мають право на життя, але треба робити 8ми резонаторний фільтр